青藏高原作为全球独特的高寒生态系统核心区,孕育了以裂腹鱼为代表的特有冷水性鱼类类群。该类群长期适应低温、强紫外及复杂水域生境,其形态分化与环境适应的协同进化机制,是研究生物与极端环境互作的重要议题。然而,传统形态测量方法依赖人工操作,存在数据获取效率低、主观性强及细微表型特征捕捉不足等局限,制约了裂腹鱼环境适应机制的深入解析。
西部(重庆)科学城种质创制大科学中心刘海平教授团队依托深度学习技术构建高通量表型分析体系,实现了裂腹鱼形态数据的高效精准获取与多生境适应规律的系统揭示,相关研究成果发表于Water Biology and Security。

研究背景与技术需求
裂腹鱼作为青藏高原水生生态系统的关键类群,广泛分布于那曲地区的河流、湖泊及河-湖过渡带(如图1所示,采样区域平均海拔4500米,涵盖28个采样点及9种裂腹鱼,分属5个属)。

图1 采样点分布
不同生境的水流动力学、食物资源分布差异,驱动裂腹鱼形成多样化形态特征,但传统研究中:
l人工测量仅能获取体长、体宽等有限线性指标,无法量化头部角度、鳍基部相对位置等功能性形态参数;
l单一样本测量耗时超10分钟,难以满足多生境、大样本的对比研究需求;
l测量结果受操作人员经验影响显著,数据重复性与客观性不足。
针对上述瓶颈,构建自动化、高精度的高通量表型技术体系,成为解析裂腹鱼形态-环境适应关系的核心需求。
高通量表型技术的构建与验证
科研团队以“图像数字化-关键点检测-坐标重建-数据解析”为技术主线,形成全流程标准化分析方案,核心环节如下:
多视角图像采集与标准化处理
为完整表征裂腹鱼形态特征,设计侧面、背面、腹面三视角图像采集方案,通过统一拍摄参数(焦距、背景亮度、样本摆放姿态),获取高质量图像3320张(侧面1115张、背面1093张、腹面1012张)。该设计有效覆盖鱼体头部、躯干、尾部等关键解剖区域,为后续表型提取提供标准化基础数据(如图2所示)。

图2 裂腹鱼关键点标注与坐标重建示例
a 侧面视图;b 背面视图;c腹面视图;d 重建的侧面坐标图;e 重建的背面坐标图;f 重建的腹面坐标图;g 重建的3D坐标系
基于YOLOv8的关键点检测模型训练
采用YOLOv8 深度学习模型构建关键点自动检测体系:
标注体系:通过labelme工具手动标注300张样本图像,定义侧面23个、背面8个、腹面11个关键解剖点(含上颌前端、眼后缘、背鳍基部、尾柄中点等);
模型训练:以YOLOv8n.pt为预训练模型,在GPU平台设置训练参数(epochs=300、batch=16),完成模型迭代优化后转换为ONNX 格式,实现跨平台部署与自动化标注;
性能验证:模型训练损失值趋近于0,关键点检测准确率达0.99以上(如图3所示),自动标注效率较人工提升50倍,位置误差控制在0.1mm以内。

图3 模型训练结果
a侧面训练损失值;b 腹面训练损失值;c 背面训练损失值;d 侧面的精度与mAP50;e 腹面训练的精度与mAP50;f 背面训练的精度与mAP50
2D坐标标校正与3D形态重建
通过Python实现多视角坐标整合:
2D校正:以上颌前端-尾柄中点连线为横轴,对各视角关键点坐标进行平移、旋转校正,消除拍摄角度偏差;
3D重建:以三视角共同的“上颌前端-尾柄中点”横轴为x轴、背/腹面纵轴为y 轴、侧面纵轴为z轴,对重叠关键点进行3D坐标计算,构建裂腹鱼全身3D数字化模型(如图2g所示),首次实现极高海拔鱼类形态的三维量化表征。
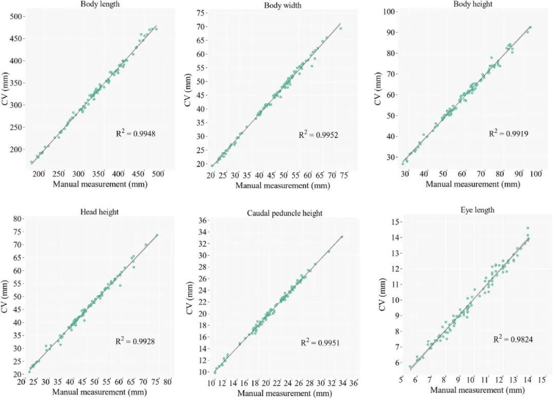
表型数据提取与准确性验证
基于2D/3D坐标数据,自动提取距离(如体长、尾柄长)、角度(如头部夹角)及比例(如体长 / 体宽)三类指标,形成每条样本7050个表型数据点。通过103条样本的人工测量对比验证,该技术获取的体长、头高、尾柄高等指标与人工数据的Pearson相关系数均 > 0.98(如图4所示),其中体长相关系数达0.9948,证实数据具有极高准确性与可靠性。

图4 人工测量与智能模型获取的测量数据间的皮尔逊相关系数
裂腹鱼多生境形态分化规律揭示
依托高通量表型数据,结合随机森林机器学习算法,对525条裂腹鱼(湖泊组LG 173条、河流组RS 169 条、河-湖过渡带组LS 186条)进行生境分类与特征筛选,取得关键发现:
生境分类准确率与关键指标筛选
随机森林算法对三组样本的分类准确率达96%(如图5所示),并筛选出15个具有统计学差异的关键形态指标,聚类为头部相关(6个)、身体相关(6个)、尾部相关(3个)三类(如图5所示),为形态-环境适应分析提供核心参数。

图5 表型指标的聚类分析
生境适配的形态特征分化
结合关键指标与3D形态分析(如图6所示),不同生境裂腹鱼呈现显著适应性分化:
河流组(RS):头部钝宽、躯干粗壮、尾柄细长,该形态可降低激流阻力、提升抗湍流能力与游泳推进效率,适配河流高流速环境;
湖泊组(LG):头部尖细、躯干纤细、尾柄较短,利于减少静水环境能量消耗,适配中上层浮游生物摄食策略;
过渡带组(LS):形态特征介于RS与LG之间,实现对水流波动生境的广谱适应,体现形态分化的连续性与环境驱动效应。

图6 经随机森林筛选出的区分三组裂腹鱼的15个表型指标
研究的科学价值与应用前景
本研究构建的高通量表型技术体系,不仅突破传统形态测量局限,更在多领域展现重要价值:
技术创新:建立鱼类三视角关键点检测与3D重建技术范式,为鱼类表型组解析提供可推广的技术框架,填补极高海拔鱼类高通量形态研究空白;
生态保护:明确裂腹鱼形态-生境适配关系,可用于栖息地适宜性评估与增殖放流优化,为青藏高原水生生物多样性保护提供科学依据;
产业应用:筛选的关键形态指标可指导高原冷水鱼养殖品种选育,如流水养殖环境优选RS组形态特征个体,提升养殖存活率与生产效率。
该研究通过技术创新推动鱼类形态研究从“经验驱动”向“数据驱动”转型,为极端环境生物适应机制解析提供新路径,也为全球高寒地区水生生物研究与保护提供重要参考。
原文链接:https://doi.org/10.1016/j.watbs.2025.100381